研究揭示气候变暖条件下鄱阳湖沉积物中多溴二苯醚、多环芳烃和藻类有机质的历史变化关系
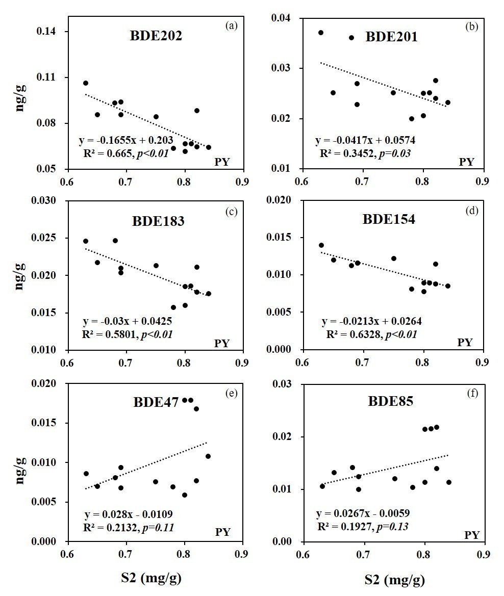
近期,中国科学院广州地球化学研究所博士生万难难和研究员冉勇等人对气候变暖条件下鄱阳湖沉积物中多溴二苯醚、多环芳烃和藻类有机质的历史变化关系进行了研究。研究表明,鄱阳湖沉积柱中Σ17PBDEs和Σ15PAHs的浓度分别为1.13至4.64ng/g和341至744ng/g,TOC,S2和HI的值从底部到表层呈现增加的趋势,PAHs来源分析结果表明主要来源是燃烧源。HI与五年气温的移动平均值呈显着正相关,表明气候变暖促进了鄱阳湖藻类的增加。此外,PBDEs,PAHs和年平均温度与S2和HI的相关性分析表明,BDE-202,BDE-201,BDE-183和BDE-154与S2和HI呈负相关,而BDE-85和BDE-47与S2和HI呈正相关。PAHs与各个参数之间无明显相关关系。论文发表在近期的国际杂志HUMAN AND ECOLOGICAL RISK ASSESSMENT: AN INTERNATIONAL JOURNAL上。

图1.鄱阳湖沉积柱中BDE同系物(包括BDE-28、-47、-99、-100、-209)的含量
多环芳烃(PAHs)和多溴联苯醚(PBDEs)等持久性有机污染物普遍存在于水、土壤和沉积物中,由于其毒性、持久性和生物累积潜力,对生物体和人类构成巨大风险。在中国和其他国家的典型电子废物场所周围的燃烧残渣、土壤、沉积物、水、植物、水生生物甚至人血清中都发现了PBDEs。排放的PBDEs易于在不同的环境区中迁移,进入食物链,并在各种营养生物中积累。PAHs是广泛存在于环境中的污染物,主要来自人类活动引起的不完全燃烧,如化石燃料的燃烧以及石油和石油产品的直接释放。由于长江和流域水流的长期影响,鄱阳湖形成了独特的生态水文过程。在全球变暖的影响下,其对湖泊沉积物中典型有机污染物和藻类有机质沉积过程的影响对水体生态环境具有重要意义。

图2.鄱阳湖沉积柱的有机质参数和温度参数(a):TOC;b):TN;c):S2;d):HI;e):T)

图3.鄱阳湖沉积柱中BDE同系物(包括BDE-202、-201、-183、154、-47、-85)与S2的相关性
中国科学院广州地球化学研究所博士生万难难和研究员冉勇等人采集了鄱阳湖沉积柱样品,以2厘米为间隔进行取样分析。应用GC-MS测定了样品中17种PBDEs和15种PAHs的含量。样品的有机质参数则是通过Rock-Eval 6 (Vinci Technologies, France)测定。另外,还对样品进行了210Pb定年分析,温度数据来源于中国气象数据网中波阳监测点的数据。结果表明,近30年来,鄱阳湖的PBDEs和PAHs以不同的方式分布,PAHs的含量从底层到顶层都高于PBDEs,PAHs的来源是生物质燃烧。S2和PBDEs单体之间的相关性表明藻类有机质与有机污染物的影响有明显的差异性:BDE-47和BDE-85呈正相关;BDE-154,BDE-183,BDE-201和BDE-202呈负相关。多环芳烃S2和HI没有显著相关性,这可能与沉积物的扰动有关。通过对比年均温以及5年滑动平均气温与S2和HI的值,结果显示温度升高,对后者都显现出正相关关系,揭示了气候变暖会促进藻类生长,进一步验证了中国不同区域水体环境中生物泵在藻类有机质及其有机污染物积累方面的作用。