广州地化所在揭示风化过程中Mo同位素分馏机理取得进展
准确限定陆源输入到海洋的Mo同位素组成是运用Mo同位素准确反演地质历史时期全球海洋氧化和缺氧事件的重要前提。厘清Mo同位素在地壳岩石风化过程中分馏机制和寻找风化产物中偏轻Mo同位素主要长期稳定储库是限定河流输入到海洋中Mo同位素通量的主要途径。然而,目前关于Mo同位素在岩石化学风化过程中的具体分馏机制仍然不清楚,同时,风化产物中偏轻的δ98Mo的长期稳定储库仍未找到。因此,解决以上科学问题对于限定陆源输入到海洋的Mo同位素组成通量和完善Mo同位素示踪功能具有重要的意义。
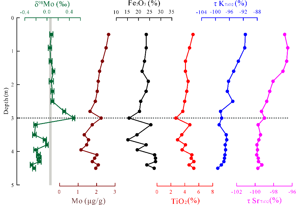
最近,中国科学院广州地球化学研究所稳定同位素地球化学学科组王志兵副研究员及合作者调查了中国海南玄武岩风化剖面全岩δ98Mo组成变化特征,以及不同相态(如Fe-Mn氧化物态、残渣相态等)和母岩单矿物(钛铁矿、赤铁矿等)δ98Mo组成。全岩结果显示,δ98Mo组成在风化剖面三个阶段呈现不同特征,即剖面上部和中部具有偏重于基岩,而下部偏轻基岩。在风化剖面上部和中部的δ98Mo组成主要受雨水输入和氧化还原条件控制,δ98Mo组成较基岩偏重;剖面下部主要受控于淋滤作用影响,即偏重的δ98Mo组成被优先淋滤到水溶液中,使得残留部分具有偏轻的δ98Mo。化学提取实验结果进一步表明,全岩中具有偏轻δ98Mo的组份主要富集在残渣相态中的Fe-Ti氧化物(如钛铁矿)中,而这些Fe-Ti氧化物主要继承于玄武质母岩。由于Fe-Ti氧化物(如钛铁矿)具有很强的抗风化性,因此其有可能是地球表生系统中轻Mo同位素组份长期稳定的储库。此外,通过玄武岩和花岗岩化学风化过程中Mo同位素分馏程度的差异,发现相对于花岗岩风化过程中较大的Mo同位素分馏,玄武岩风化过程中Mo同位素的分馏比较小,这种差异可能是由两种岩石中主要Mo的赋存矿物的不同而引起的。
该研究在国际上率先发现了地球表生系统中偏轻Mo同位素组成长期稳定的储库,即Fe-Ti氧化物(如钛铁矿),和不同岩石类型(花岗岩和玄武岩)风化过程中Mo同位素分馏的差异,对深入了解化学风化过程中Mo同位素分馏机制和地球表生过程Mo同位素循环具有重要的意义。
该研究成果近期发表于国际地球化学权威期刊《Geochimica et Cosmochimica Acta》。该项研究获得了国家自然科学基金、广东省基础与应用基础研究基金重大项目、南方海洋科学与工程广东省实验室(广州)人才团队引进重大专项和国家重点研发计划等联合资助。
论文信息: Wang, Zhibing*, Ma, Jinlong*, Li, Jie, Zeng Ti, Zhang, Zhuoying, He Xinyue, Zhang Le, Wei,Gangjian. 2020. Effect of Fe–Ti oxides on Mo isotopic variations in lateritic weathering profiles of basalt. Geochimica et Cosmochimica Acta, 286:380-403.
论文链接:https://www.sciencedirect.com/science/article/pii/S0016703720304609?dgcid=rss_sd_all。

图1.左边为中国海南岛地质图和风化剖面位置;右边为文昌玄武岩风化剖面柱状图。
图2.文昌玄武岩风化剖面中δ98Mo组成和相关元素含量随深度变化特征。

图3.风化剖面中不同相态(如Fe-Mn氧化物态、残渣相态等)Mo相对比例和δ98Mo组成特征。