中亚阿尔泰山两个主要树种树木径向生长对气候的响应研究取得进展
北方针叶林是地球上最大的生物群落之一,也是对气候变化最敏感的生态系统之一。中亚地区是北方针叶林的重要分布区域之一,该地区的森林生态系统在生物多样性保护和区域经济发展中发挥着重要作用。然而,以往对阿尔泰山森林生态系统的研究主要局限于局部范围,缺乏跨越纬度梯度的大规模研究。因此,研究全球变化背景下中亚地区北方森林生长动态的潜在变化具有重要意义。
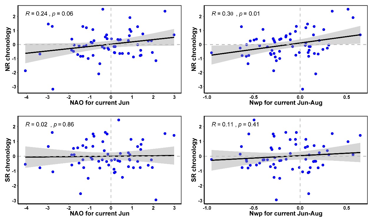
中科院华南植物园生态中心硕士研究生康剑在黄建国研究员的指导下,建立了西伯利亚落叶松(Larix sibirica Ledeb.)和西伯利亚松(Pinus sibirica Du Tour .)的34个树轮年表网络,进而分析了树木径向生长的空间格局、主要限制气候因子以及与大尺度气候环流之间的关系,结果表明,该地区树轮年表具有明显的聚类格局,树轮年表可分为东北区和西南区2个区域。区域气候与区域年表的Bootstrap相关分析表明,两个地区的树木径向生长均与夏季气温(6月和7月)呈正相关。东北地区树木径向生长与早春降水和春季PDSI呈显著正相关,而西南地区则与夏季降水和夏季PDSI呈显著负相关。暖池厄尔尼诺(WP ENSO)和北大西洋涛动(NAO)通过对区域降水和温度的影响调节树木径向生长。
该结果表明,6-7月温度是中亚阿尔泰山树木径向生长的主要影响因子。研究区的径向生长空间格局主要是由于水分影响造成的,其中,东北地区水分对径向生长有促进作用,而西南地区水分过量对径向生长有抑制作用。通过对全球气候环流与树木径向生长的相关性分析,确定了大尺度环流通过影响区域气候间接影响树木径向生长。未来,如果气候继续变暖,大尺度气候环流模式将会改变。在研究区东北区域,水分可能进一步减少,而在西南地区则可能增加,这种变化可能在未来造成整个森林生态系统的退化。本研究有助于进一步了解影响北方针叶林树木径向生长的气候因子,为中亚地区森林经营和生态恢复提供科学依据。
相关研究结果已近期发表在SCI林学Top1期刊Agricultural and Forest Meteorology上(2020年IF 5.142)。该研究得到国家自然科学基金的资助。
论文链接:https://doi.org/10.1016/j.agrformet.2020.108297

当年6月NAO、6-8月Nwp与区域年表的相关