广州地化所揭示活化和氧化黑碳对壬基酚的吸附和解吸机理
壬基酚(NP)是一种内分泌干扰物,对人类构成致癌威胁。目前,在世界范围内的各种有机废水中都检测到NP。因此,去除污染废水中的NP成为环境污染和污水净化的一个重要问题。黑碳(BCs)因其在控制污染物迁移方面的潜在作用而受到广泛关注。目前,用ZnCl2和KOH活化BCs的报道很多,但系统比较其表面性能、化学结构性能、微孔性能和吸附/解吸性能差异的研究较少。此外,鲜少有报道将活化处理和氧化处理相结合。前期研究表明了活化和氧化BCs对平面化合物(菲,Phen)吸附和解吸中的微孔变形机制,然而,对于活化和氧化BCs在非平面化合物(壬基酚,NP)上的吸附和解吸行为的认识仍然不足。此外,可提取有机质(EOM)和多环芳烃(PAHs)对BCs吸附和解吸的影响还有待进一步研究。
广州地化所胡淑捷博士研究生和冉勇研究员等人,利用化学活化剂(KOH、ZnCl2)、氧化剂(H2O2、NaClO)和有机溶剂分别从页岩干酪根中提取活化黑碳(Z-BCs/P-BCs)、氧化黑碳(ZHP\ZSH\PHP\PSH)和有机溶剂萃取的黑碳样品(E-Z-BCs/E-P-BCs);并测定了它们的表面性质(水接触角、表面酸/碱官能团、阳离子交换能力CEC)、结构性质(高级固态13C NMR)、微孔性质(CO2吸附)和介孔性质(N2吸附),并对热解过程中产生的多环芳烃(PAHs)以及可提取有机质(EOM)进行了量化。
实验表明,不同温度下 BCs 的EOM和 PAHs含量均随热解温度的升高先升高后降低。与KOH活化的BCs相比,ZnCl2活化的BCs具有较高的碱性表面官能团、CEC值、芳香碳含量、微孔体积和微孔尺寸,但酸性表面官能团较低。通过1H–13C 远程偶极去相估计了稠环芳香环的大小,提出了300–500 ℃之间的BCs的结构模型。
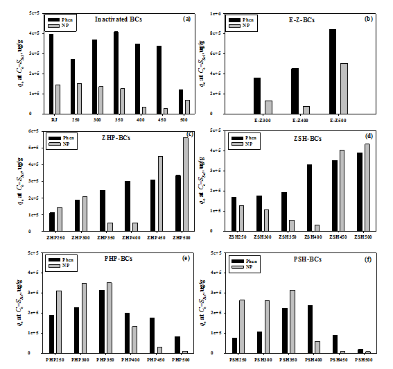
此外,研究人员探讨了BCs对壬基酚和菲的吸附和解吸机理。结果表明,可提取有机物的去除暴露了BCs的微孔结构,有利于吸附菲,但不利于分子吸附尺寸较大的壬基酚。而且,氧化处理BCs对壬基酚的吸附比对菲的吸附更有效(图1)。另外,氢键在对壬基酚吸附过程中有重要作用;BCs的微孔结构对吸附不可逆性有显著影响;BCs对壬基酚的解吸滞后机制还与氢键效应和微孔变形效应有关。
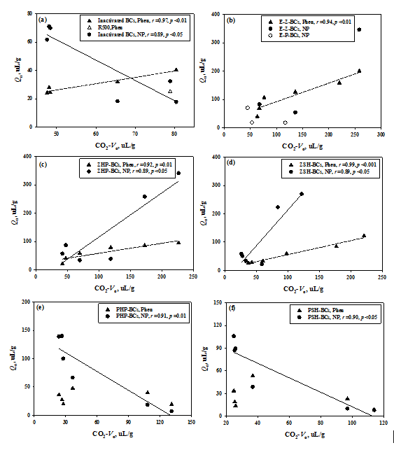
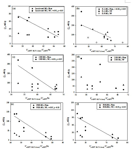
为进一步探讨,研究人员利用DR吸附模型估计BCs对Phen和NP的吸附量(Qo)。结果表明,NP的吸附过程存在明显的分子筛作用;空间位阻的原因使得分子较大的壬基酚不能进入到较小的微孔。黑炭对具有平面分子结构的菲的吸附要比非平面的壬基酚吸附的强,供试BCsde微孔填充和微孔尺寸分布对壬基酚的吸附起着至关重要的作用。

图1: BCs 对菲和壬基酚吸附的 qe值 (来源:Elsevier)

图2: BCs 对菲和壬基酚吸附的 Qo值与微孔体积的关系 (来源:Elsevier)

图3: BCs 对菲和壬基酚吸附的 Qo值与Vo-DFT-(0.37-1.1nm)/Vo-DFT %的系 (来源:Elsevier)
原文链接:https://www.sciencedirect.com/science/article/pii/S0048969720377226