广州地化所、深地科学卓越创新中心在碳酸盐岩矿物对原油裂解行为影响的研究中取得新认识
文章来源:广州地球化学研究所 | 发布时间:2021-12-09
文章来源:广州地球化学研究所 | 发布时间:2021-12-09 | 【打印】 【关闭】
原油裂解行为的研究有助于预测在特定储层中油气的组成、相态特征,从而有效地指导油气勘探与开发工作。目前温度和压力对于原油裂解行为的影响已有大量研究,而储层介质环境(矿物)对原油裂解行为影响的认识则相对薄弱。通常油气储层介质按岩性可以分为碎屑岩和碳酸盐岩两大类。碎屑岩主要是由石英、长石及多种粘土矿物结合而成。已有研究表明粘土矿物会显著地影响原油裂解的行为,能促进异构化、重排等反应。碳酸盐岩储层则是一类主体由方解石(灰岩)、白云石(白云岩)所组成的孔隙发育的储层。前人大量研究表明方解石对原油裂解行为的影响很小,但鲜有研究关注白云石。此外,硫酸盐热化学还原反应(TSR)由于其广泛存在于碳酸盐岩储层中,且会对原油会造成强烈的影响(油藏酸化并被破坏)而受到国内外学者的广泛关注。国内外TSR高发地区普遍与白云岩储层有关。尽管目前国内外学者针对TSR反应的机理已有较为充分的认识,但白云石在TSR过程中是否起作用以及其作用机理等仍然存疑。
针对上述科学问题,中国科学院广州地球化学研究所有机地化国家重点实验室吴亮亮副研究员课题组通过典型原油与方解石、碳酸镁、白云石等多种碳酸盐岩矿物的黄金管热模拟实验揭示了的碳酸盐岩矿物特别是白云岩对原油裂解行为的影响及其机理,并进一步通过PVT相态模拟软件探究不同成熟度阶段白云岩储层介质对赋存其中原油的组成和相态的影响和变化规律。
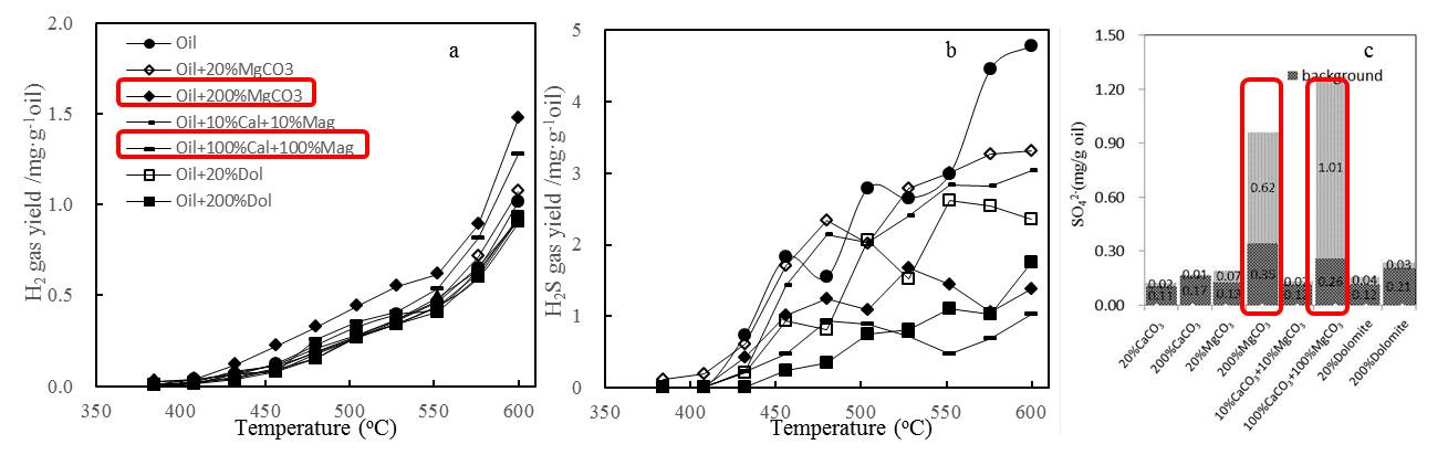
研究表明两种常见的碳酸盐岩矿物(方解石和白云石)对原油裂解行为的影响存在显著差异。其中方解石的影响十分有限;但白云石则对C1-5以及C6-13的产率均有较为显著的影响。实验结果显示,碳酸镁或白云石在高温阶段可以发生裂解生成无机CO2和Mg(OH)2(图1)。而生成的Mg(OH)2易于吸附H2S气体并形成Mg(HS)2。随后基于SO42-离子浓度及H2的演化趋势,推测白云石中过渡金属可能会促进水裂解生成H2和O2,随后生成的O2会进一步将Mg(HS)2氧化成MgSO4。上述过程将导致反应体系易于富集SO42-离子及H2和消耗H2S。而本实验中高浓度MgCO3和白云石系列相比低浓度系列具有更高的H2产率(图2a)和SO42-离子浓度(图2c)以及更低的H2S产率的现象与上述推测的反应过程十分吻合。这些结果表明白云岩对原油裂解过程的影响主要是通过促进有机硫转变成硫酸镁,随后通过激活硫酸盐热化学还原反应从而达到破坏烃类的作用。
图1. a.加入不同浓度和种类的碳酸盐岩矿物后原油裂解的CO2产率随温度变化关系图;b. 原油裂解产物中CO2的δ13C值随温度变化关系图.
图2. a.加入不同浓度和种类的碳酸盐岩矿物后原油裂解的H2产率随温度变化关系图;b. H2S产率随温度变化关系图; c. 600oC热解产物中硫酸根离子绝对浓度.
PVT相态模拟结果表明,白云石对原油裂解行为的影响在Easy Ro 为1.19-1.47%这个阶段最为强烈,特别是在Easy Ro为1.47%时,白云石的存在会导致原油的露点温度增加约35℃且泡点压力下降约1.3MPa(图3)。一般而言,成熟度在1.3-2.0%阶段为轻质油/凝析油生成高峰。因此对于赋存于白云岩储层中的凝析油/轻质油气藏而言,考虑白云石的影响将有助于更准确地预测储层中油气的组成和相态。
本研究成果完善了白云石对原油裂解过程影响的认识,指出了白云岩储层中凝析油气资源的组分和相态预测需考虑白云石的影响,有助于更加准确地评估特定白云岩储层中原油的组成、相态,从而更有效地指导深层油气勘探。
图3.各成熟度阶段碳酸盐岩矿物的浓度和种类对原油裂解产物相包络线的影响.
该成果近期发表于国际期刊Marine Petroleum Geology上,研究得到了中国科学院战略性先导科技专项(A类)、国家自然科学基金和有机地球化学国家重点实验室基金的资助。
论文信息: Liangliang Wu*, Xinyan Fang, Ansong Geng. Influence of carbonate minerals on the pyrolysis and phase behavior of oil. Marine Petroleum Geology, 134 (2021), 105374. DOI: 10.1016/j.marpetgeo.2021.105374.