广域温压条件下硫化氢-水体系模拟研究取得新进展
近日,深海极端环境模拟研究室蒋磊研究团队,报道了广域温压条件下H2S–H2O体系模拟研究的实验结果,并与西北大学孙睿教授合作优化了相关的热力学计算模型。
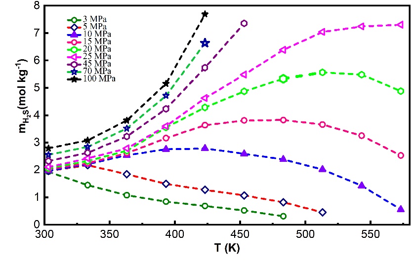
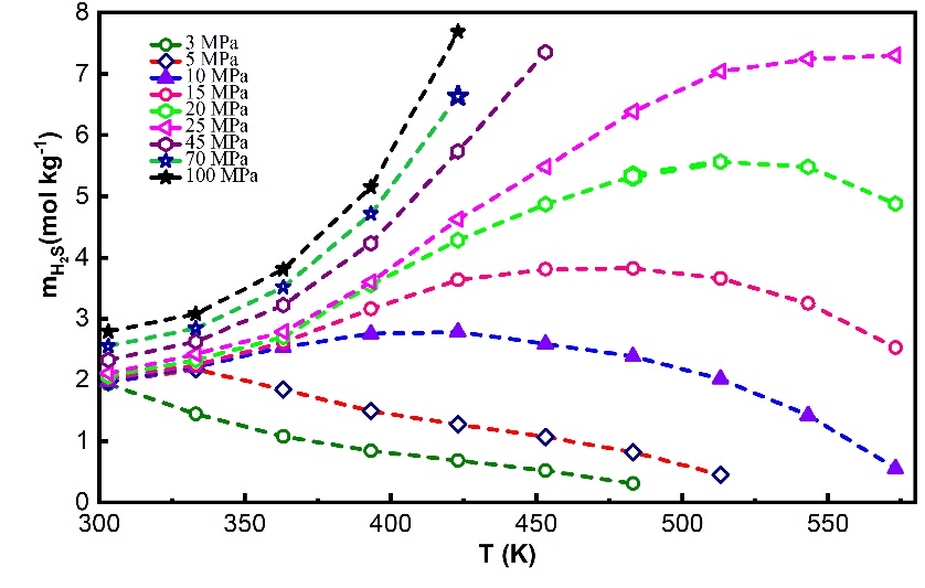
1)基于拉曼光谱和高压可视反应腔实验平台,建立了硫化氢在纯水中浓度的定量分析方法,系统测定了广域温压范围内(303.15<T<573.15 K, P<100 MPa) 硫化氢在纯水中的溶解度,拓展了前人的数据范围;以新获取的实验数据为基础,优化了硫化氢溶解度的计算模型。

此项研究在线发表于《Chemical Geology》(Jiang L*, Xin Y, Chou I-M*, Sun R. 2020, Raman spectroscopic measurements of H2S solubility in pure water over a wide range of pressure and temperature and a refined thermodynamic model)
全文链接:https://www.sciencedirect.com/science/article/pii/S0009254120303557
2)利用高压可视反应腔以及光学显微镜实验平台,系统分析了H2S水合物的形成条件,获取了水合物-溶液-硫化氢气体相、水合物-溶液-硫化氢液体相的相平衡数据,扩展了前人实验的温压范围(272.4 <T< 307.7 K, 0.0986<P< 66.128 MPa)。在此基础上,利用本文的实验数据,优化了现有热力学模型的计算精度,为水合物相关的地质应用提供了可靠的实验数据和计算模型。

此项研究在线发表于《Journal of Chemical & Engineering Data》(Sun J, Xin Y, Chou I-M, Sun R, and Jiang L*. 2020, Hydrate stability in the H2S–H2O system–visual observations and measurements in a high-pressure optical cell and thermodynamic models)