珍稀濒危植物龙州金花茶的生存现状及保护策略研究取得进展
龙州金花茶(Camellia longzhouensis J.Y. Luo)是山茶科(Theaceae)的常绿灌木或小乔木(图1)。因其仅分布于广西龙州且花金黄色而得名,是世界名贵观赏植物,有“植物界大熊猫”和“茶族皇后”的美誉。龙州金花茶是中国特有种、国家II级保护植物。其花可供观赏也可制成保健型茶饮,兼具濒危性、经济价值、特有性,具有很高的科研价值。2015年,世界自然保护联盟(International Union for Conservation of Nature,IUCN)将龙州金花茶评估为濒危等级,指出龙州金花茶正面临栖息地退化威胁。
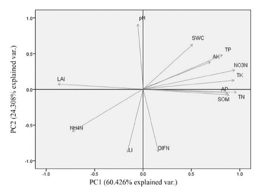
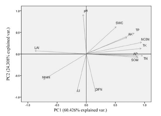
中科院华南植物园生态与环境科学研究中心硕士生许展慧在任海研究员指导下,与广西植物研究所韦霄研究员和广西弄岗国家级自然保护区合作,系统研究了龙州金花茶的分布、生境特征、种群结构、致濒危因子和综合保护策略,研究发现:龙州金花茶分布范围狭窄,仅分布在广西弄岗国家级自然保护区及边缘,生境为喀斯特天然次生林;野外仅有3个龙州金花茶居群,共58株;龙州金花茶种群结构不合理,表现为幼年个体缺少。影响龙州金花茶生存受威胁的主要生物因素是同一层次、生态位相似的海南大风子(Hydnocarpus hainanensis)和米扬噎(Streblus tonkinensis)的竞争,影响龙州金花茶生存的环境因子有土壤N、P含量和环境光强(图2)。其他因素还包括人为盗采、物种自身繁殖障碍。根据该物种的现状,按IUCN标准,应将其调整为极度濒危等级。
基于研究结果,科研人员提出了龙州金花茶的综合保护策略:扩大弄岗国家级自然保护区的范围,将保护区边缘的野生个体纳入保护;标记所有野外个体,定期巡查,清理竞争植物,实现有效的就地保护;把所有野外个体取枝条进行嫁接或扦插,建立全遗传多样性资源圃以近地保护遗传多样性;在气候相似的植物园建立更多迁地保护种群;在3个原生居群中分别引种其他居群的个体建立增强回归群体以增加遗传多样性;在弄岗国家级自然保护区以外建立能自我更新的异地回归种群,以应对气候变化对该物种存活的可能影响;进一步优化繁殖技术,栽培时营造近似原生境的土壤条件和光强环境;促进龙州金花茶商品化生产,以减少野生植株的生存压力。弄岗国家级自然保护区已按此策略优化了保护行动。龙州金花茶的综合保护策略对喀斯特贫困地区其他珍稀濒危植物保护和可持续利用有参考价值。
相关研究结果已近期发表在国际学术期刊Global Ecology and Conservation(《全球生态与保护》)上。论文链接:https://www.sciencedirect.com/science/article/pii/S2351989421001359

图1. 龙州金花茶的花(a);芽(b);果实(c);植株(d)

图2. 影响龙州金花茶丰度的环境因子主成分分析结果