哨叫声信号特征揭示海南中华白海豚的独特性
海豚频繁使用声音来感知水下环境、寻找猎物、躲避捕食者,以及与同类进行交流等等。窄带调频哨叫声被认为主要用于动物社会中个体间的交流,类似于人类的语言。已有研究表明海豚同一物种不同地理种群之间可能跟人类一样,存在方言。因此,哨叫声信号特征可以揭示海豚不同地理种群之间的亲缘关系,为遗传或形态数据获得的信息提供印证或补充。
中华白海豚(又称“印太驼海豚”;Sousa chinensis)是驼海豚属四个物种之一,被国际自然保护联盟(IUCN)评估为“易危”级,是我国国家一级保护动物。主要分布在从东印度洋贯穿东南亚直至中国中部长江入海口的近岸浅水海域。在我国,中华白海豚主要零星地分布在东南沿海,主要包括厦门湾、台湾岛西海岸、珠江口、湛江、北部湾和海南西南海域。目前尚不明确我国东南沿海分布的中华白海豚种群之间是否存在个体交流或基因流动。海南西南海域的中华白海豚种群是于2014年新发现的群体。目前人们对它们的声信号特性及其与毗邻海域其它种群哨叫声的异同还知之甚少。
近日,深海所李松海研究团队在期刊海洋哺乳动物专业期刊Marine Mammal Science发表了题为“Whistle characteristics of a newly recorded Indo-Pacific humpback dolphin (Sousa chinensis) population in waters southwest of Hainan Island, China, differ from other humpback dolphin populations”的封面论文,揭示海南西南海域新记录的中华白海豚种群哨叫声特征与其它中华白海豚种群以及驼海豚其它物种哨叫声的差异,并指出中华白海豚哨叫声信号特征存在环境噪声的适应性。

期刊当期封面(中华白海豚照片由林明利博士于2015.6摄于三亚崖城)
该研究从海南西南海域采集到的226个哨叫声信号中识别出6种信号类型(图1),包括直线型,上扫型、凸型、凹型、下扫型和正弦型。其中,直线型最常见,而凸型最少。海南中华白海豚种群哨叫声基础频率最高可达21 kHz,与其它地理种群的哨叫声类似,但其哨叫声持续时间高于大多数其它地理种群,哨叫声拐点复杂性低于除广西三娘湾种群外的其它地理种群,表明海南中华白海豚种群发出的哨叫声比除广西三娘湾种群外的其它所有地理种群哨叫声更为简单。

图1 本研究记录到的中华白海豚哨叫声6种哨叫声声谱图:(a)直线型,(b)下扫型,(c)上扫型,(d)凹型,(e)凸型,(f) 正弦型
目前已有不少中华白海豚以及其它驼海豚种群的哨叫声研究报道,但是不同种群之间哨叫声信号特征的关系和差异尚不完全清楚。本研究基于哨叫声信号的频率和持续时间等声学特性,采用分层聚类的方法揭示了不同地理种群之间哨叫声特性的异同(图2)。研究表明地理相邻的驼海豚种群之间,哨叫声的时频特征更为相似。我国海域的中华白海豚不同地理种群的哨叫声彼此相似,而马来西亚中华白海豚种群(S. chinensis)与澳大利亚驼海豚(S. sahulensis)以及印度驼海豚(S. plumbea)种群的哨叫声上更接近。而在我国水域内,湛江和三娘湾水域的中华白海豚种群在哨叫声特性上比海南中华白海豚种群更相似。由此推测海南中华白海豚种群与上述其它两个种群间的个体和基因交换程度可能低于湛江与三娘湾种群之间的个体和基因交换程度,因此海南中华白海豚种群可能是与其地理相邻种群相比较为独立的种群。上述工作对南海海域中华白海豚遗传分化的进一步研究、了解该物种不同地理种群的隔离程度提供了重要的补充和数据支持。
图2 不同驼海豚地理种群哨叫声特性相似性的分层聚类结果
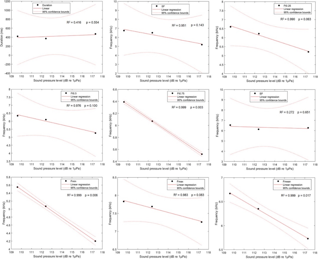
海洋哺乳动物哨叫声特征的差异与动物群体规模和行为状态有关,也与栖息地的水下声学环境有关。研究发现海南、湛江和三娘湾的中华白海豚栖息地水下噪声声压级(SPLs)存在显著差异,其中海南西南海域噪声声压级显著高于湛江和三娘湾,而湛江与三娘湾之间无显著差异(图3)。动物可以调控它们发出的声音特性,以在不同的水下声环境中有效地提高声音传播效率。更简单、变化更少的哨叫声可以避免环境噪声的掩蔽作用,而较低频的声音可以在较长距离上进行传输。与湛江和三娘湾相比,海南中华白海豚倾向于发出持续时间更长、频率更低、拐点更少的哨叫声来适应当地更嘈杂的声环境,从而实现更有效的个体信息交流(图4)。

图3 海南、湛江和三娘湾中华白海豚地理种群9个哨叫声参数比较(a),50-48,000 Hz范围内的宽频水下噪声SPLs(b),环境噪声功率谱密度(PSD)和频谱概率密度(SPD)(c1、c2、c3)

图4 海南、湛江和三娘湾中华白海豚地理种群9个哨叫声参数与当地栖息地宽频水下噪声SPLs 的线性回归分析
本研究首次对海南西南海域中华白海豚的哨叫声特征进行了研究。研究结果对于评估我国海域中华白海豚不同地理种群的隔离状况以及水下噪声对这些种群的影响具有重要意义。中华白海豚哨叫声的多样性可能反映了当地栖息地环境的声学环境差异、动物地理种群间差异或种群的隔离状况。海南中华白海豚种群与相邻种群之间的哨叫声分化原因可能与遗传和环境因素有关。未来在更大地理尺度上对动物栖息地声环境和声行为的研究将有助于更好理解水下噪声是如何在种类和种间水平上驱动动物种群之间哨叫声特征的分化。
深海所李松海研究员为该研究的通讯作者,董黎君助理研究员为论文第一作者。