科研进展

钟音、彭平安等-EST:在氯代有机磷酸酯厌氧生物转化方面取得新进展

  
氯代有机磷酸酯(chlorinated organophosphate esters, Cl-OPEs)是在自然环境(如地表水、地下水、沉积物和土壤等)中广泛存在的一类新兴污染物,具有致癌性、神经毒性以及生殖毒性,已被列入欧盟的优先控制清单。生物降解和转化是去除环境中氯代有机污染物的主要途径。已有的研究主要关注Cl-OPEs的好氧生物降解过程,然而,关于Cl-OPEs厌氧生物转化的研究却十分薄弱。Cl-OPEs厌氧生物转化途径、机制以及参与转化过程的微生物和功能基因仍不清楚。
针对上述科学问题,中科院广州地球化学研究所、深地科学卓越创新中心钟音副研究员、彭平安研究员等,利用Cl-OPEs为电子受体,从电子垃圾污染沉积物中富集出了两个具有厌氧转化Cl-OPEs能力的菌群(分别命名为8E和8P),通过产物鉴定、重水标记实验、高通量测序、定量聚合酶链反应(qPCR)、宏基因组学等分析方法,阐明了Cl-OPEs 的厌氧生物转化效率、途径和机制,揭示了参与Cl-OPEs还原转化的主要功能微生物和功能酶。
菌群8E和8P在10天内分别将3.88 ± 0.22 μmol 磷酸三(2-氯乙基)酯(tris(2-chloroethyl) phosphate, TCEP)和2.61 ± 0.02 μmol 磷酸三(1-氯-2-丙基)酯(tris(1-chloro-2-propyl) phosphate, TCPP)完全转化。通过产物质量平衡分析,研究发现TCEP和TCPP主要转化成二酯产物,即磷酸二(氯乙基)酯(bis(2-chloroethyl) phosphate, BCEP)和磷酸二(1-氯-2-丙基)酯(bis(1-chloro-2-propyl) phosphate, BCPP)。此外,研究还首次报道TCEP和TCPP分别被厌氧还原转化成乙烯/乙烷和丙烯。
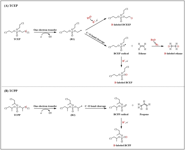
加氢脱氯被认为是氯代有机污染物厌氧生物转化的主要机制,但是TCPP的加氢脱氯产物没有被测到,TCEP的疑似加氢脱氯产物只在菌群8E添加了4次TCEP后才检测到。TCEP和TCPP的加氢脱氯产物是否转化成乙烯/乙烷和丙烯并不清楚。为了验证这一机制的可能性,研究采用重水配制的培养基培养菌群8E和8P,结果发现乙烯和丙烯没有被氘代标记,而乙烷被氘代标记,表明乙烯和丙烯可能不是由TCEP和TCPP加氢脱氯产物进一步转化生成。Cl-OPEs可能通过单电子转移(自由基机制)进行还原脱氯,脱氯产物随即发生C-O键断裂生成二酯产物和无氘代标记的烯烃(图1)。乙烷可能是由乙烯进一步还原转化生成。该转化途径是一条全新的厌氧脱氯转化途径,与传统报道的加氢脱氯途径显著不同。
 
图1. 重水体系下TCEP转化为乙烯/BCEP(A)和TCPP转化为丙烯/BCPP(B)的机制示意图
16S rRNA基因扩增子测序和qPCR分析显示菌群8E和8P都含有专性脱卤菌Dehalococcoides,而且Dehalococcoides的丰度随着TCEP/TCPP的降解和乙烯/丙烯的生成而增加(图2A),表明Dehalococcoides对TCEP和TCPP厌氧还原转化可能具有重要作用。采用宏基因组单菌草图组装技术分别从菌群8E-1和8P-1中组装获得Dehalococcoides基因组草图(即Bin8E40和Bin8P27),并与13个参考Dehalococcoides mccartyi全基因组构建最大相似系统发育树,证明Bin8E40和Bin8P27属于不同的Dehalococcoides mccartyi亚组(图2B)。此外,将Bin8E40和Bin8P27和5个参考Dehalococcoides mccartyi(即VS、195、BAV1、CBDB1和MB)基因组中注释的还原性脱卤酶构建最大相似系统发育树,显示Bin8E40和Bin8P27分别包含14和15个还原脱卤酶(rdh)基因(图2C)。逆转录-聚合酶链反应(RT–qPCR)分析发现,其中13个和12个rdh基因在TCEP和TCPP还原转化过程中均能进行转录表达(图2D),表明它们可能分别参与了TCEP和TCPP的还原转化过程。
 
图2. TCEP/TCPP转化过程中Dehalococcoides丰度变化特征(A);Bin8E40和Bin8P27与参考Dehalococcoides mccartyi全基因组的最大相似系统发育树(B);Bin8E40和Bin8P27与参考Dehalococcoides mccartyi的基因组中注释的还原性脱卤酶的最大相似系统发育树(C);Bin8E40和Bin8P27 rdh基因的转录表达(D)
综上所述,这项研究首次揭示了厌氧条件下Cl-OPEs生物还原转化过程和机制,拓宽了人们对Dehalococcoides还原转化Cl-OPEs转化机制的理解,不仅有助于认识Cl-OPEs在厌氧环境(地下水、沉积物、污泥和地下土壤等)中的环境行为,而且对Cl-OPEs的污染控制和高效生物修复技术开发具有十分重要的意义。
相关研究成果于近期发表在国际知名学术期刊Environmental Science & Technology,朱锡芬博士(我所毕业博士生)为论文第一作者,钟音副研究员为论文通讯作者。该项研究受到国家自然科学基金、广东省科技计划项目和广东省重点区域研究开发项目资助。