科研进展

张艳莉等-AMT:设计并表征了一种测量植物排放BVOCs的半开放式动态箱系统

  
陆地植物排放的生物源挥发性有机物(BVOCs)约占全球VOCs排放总量的90%,对臭氧(O3)和二次有机气溶胶(SOA)生成具有重要贡献,对区域BVOCs排放量的准确估算有利于形成近地面O3污染控制的科学决策。然而,从全球到区域尺度,BVOCs排放量的估算仍存在较大的不确定性,而BVOCs排放因子是其关键因素影响之一。动态箱是常用于测量BVOCs排放速率的手段,测量过程中箱体对植物排放BVOCs的吸附损失、对植物正常生理状态的干扰是该方法在测量时面临的主要挑战,当前还缺乏对动态箱性能的系统评估和表征。
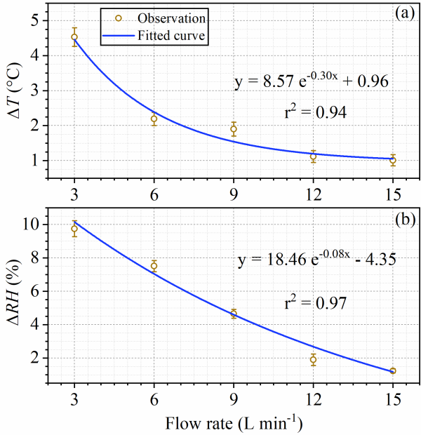
为更准确测定植物在正常生长条件下BVOCs排放因子,中国科学院广州地球化学研究所王新明研究员和张艳利研究员课题组设计了一种用于测量植物排放BVOCs的半开放式动态箱系统(图1)。并利用在线和离线手段,实验室和外场观测相结合,评估了主要的BVOCs化合物,比如:异戊二烯、单萜烯和倍半萜烯等通过箱体时的传递效率,发现较高流速(较短滞留时间)不仅能缩短到达稳态的时间,也能减小BVOCs的吸附损失,但分子量较大的化合物即使在高流速条件下的损失也超过30 %;从0-100%湿度下的模拟实验表明,湿度对BVOCs的吸附损失影响不显著(图2),但不同化合物呈现不同特征;通过野外实测箱体内-外环境因子的差异,发现高流速有利于减小箱体内-外的温、湿度差异(图3)。该研究也表明,即使可以优化条件尽量减少测量时吸附损失和对植物枝叶正常生理的干扰,分子量较大的单萜烯和倍半萜烯的吸附损失依然不可忽视,可能会造成其排放因子的显著低估,由于单萜烯和倍半萜烯同分异构体众多,如何评估并校正其在动态箱测量过程中的损失,是需要进一步解决的问题。
 
图1. 半开放式动态箱的野外实物图(a, b)和结构示意图(c)
 
图2 不同湿度、不同流速下BVOCs在箱体中的传递效率
 
图3 不同流速条件下箱体内-外温、湿度差异
本研究受到国家自然科学基金委优秀青年基金、香港RGC项目、中国科学院先导专项、广东省科技厅、中国科学院青年创新促进会等项目的联合资助。相关研究成果近期发表在Atmospheric Measurement Techniques
论文所有实验数据均是在中国科学院广州地球化学研究所公共技术服务中心有机地球化学分析平台完成测试。
论文信息:Zeng, J., Zhang, Y.*, Zhang, H., Song, W., Wu, Z., and Wang, X.*: Design and characterization of a semi-open dynamic chamber for measuring biogenic volatile organic compound (BVOC) emissions from plants, Atmos. Meas. Tech., 15, 79-93, https://doi.org/10.5194/amt-15-79-2022, 2022.