地球大气与海洋的氧气含量,从早期近乎为零的状态逐步攀升至接近现代水平(图1),这一演化过程在塑造地球演化历史、为生命起源与繁盛创造必要条件,以及推动地球宜居环境形成等方面,发挥着不可替代的关键作用。重建地质历史时期大气与海洋的氧气含量及演化过程,是当前地球科学领域的重要课题。其中,利用氧化还原敏感型地球化学指标重建大气与海洋氧气含量,是该领域最核心的研究方法。海相地层中的氧化还原敏感元素(如 S、Mo、Fe、Cr、Ce、U 等)及其同位素组成,能够记录海水的氧化还原状态,因此常被用于解译远古时期大气与海洋的氧化还原演化过程。在众多指标中,钼(Mo)因其丰度与同位素组成对氧化还原条件具有独特的响应特征,已成为重建古大气与海洋氧化还原环境的经典替代指标。然而,要利用Mo的丰度与同位素组成准确重建地质历史时期全球海洋的氧化还原演化过程,前提是精准厘清现代海洋Mo循环过程及其同位素收支平衡机制。

图 1. 地质历史时期地球大气氧气含量演化样式图,展示了从过去到现在大气氧气含量随时间的变化趋势,数据来源为 Lyons et al.,Nature 2014。
尽管目前已有大量研究明确了海洋Mo主要源汇的同位素组成特征,但全球Mo同位素收支平衡仍存在显著不确定性。当前主流模型普遍假设,铁锰结壳与结核可代表所有海洋氧化沉积物的同位素组成特征。然而,该假设忽略了富含铁锰(氢)氧化物深海氧化沉积物—其总体体量远超过铁锰结壳与结核的总和。这类以铁锰(氢)氧化物颗粒包膜及微结核为典型特征的深海氧化沉积物,是海洋Mo元素重要的氧化性汇。上述储库体量的巨大差异,使得 “以铁锰结壳与结核作为整个海洋氧化沉积物汇同位素组成代表” 的合理性备受质疑。此外,铁锰结壳与结核所吸附Mo的同位素组成特征,可能与远洋沉积物中铁锰(氢)氧化物颗粒所吸附的同位素特征存在差异,这种差异或导致不同储库中自生 δ⁹⁸Mo 值产生显著分异。

图2. 西太平洋深海沉积物的地球化学特征及采样位置。(A–B)采样站位示意图(黄色五角星表示采样点)。(C–D)整体沉积物中钼(Mo)与锰(Mn)及铁(Fe)含量关系图。图中同时展示了来自印度洋和太平洋的综合数据集(n = 1,955)。
为解决上述不确定性、深化对全球海洋Mo同位素收支平衡的认知,亟需对富含铁锰(氢)氧化物的深海远洋沉积物开展系统的Mo同位素组成研究。针对这一科学问题,中国科学院广州地球化学研究所同位素地球化学学科组王志兵副研究员、韦刚健研究员等,联合中国地质调查局青岛海洋地质研究所邹亮研究员等展开研究。团队选取西太平洋海域的两个深海远洋沉积物岩芯为研究对象(图 2),系统调查了深海沉积物全岩及不同相态 Mo 同位素的空间分布特征(图 3)。研究结果显示,研究区深海沉积物的 δ⁹⁸Mo 值介于 -0.55‰至 0.19‰之间,显著高于铁锰结核与结壳的 δ⁹⁸Mo 值(-0.70‰)。该研究最显著的发现是,岩芯中钼同位素组成随深度呈现逐渐升高的趋势:岩芯 XT19 的 δ⁹⁸Mo 值由 -0.52±0.04‰升高至0.12±0.08‰;岩芯 GC112 的 δ⁹⁸Mo 值由 -0.55±0.04‰升高至 0.19±0.03‰(图 3)。这种垂向变化规律与太平洋南部及中部海域的观测结果相似,暗示其可能具有全球普遍性。同时,基于两份岩芯的 δ⁹⁸Mo 值变化趋势与 Mo/Ti 比值的升高、Mn/Mo 及 Fe/Mo 比值的降低呈现显著一致性(图 3),研究团队推测:深海沉积物 δ⁹⁸Mo 随深度逐渐偏重的机制,可能是由底层海水钼向沉积物的渗透作用,以及随后在深部沉积物柱中的循环过程共同驱动。

图3. 西太平洋深海沉积物中随深度变化的钼同位素与金属比值。该图展示全岩样品以下参数的深度剖面:(A)锰钛比(Mn/Ti)、(B)铁钛比(Fe/Ti)、(C)钼钛比(Mo/Ti)、(E)铁钼比(Fe/Mo)、(F)锰钼比(Mn/Mo);(D)同时呈现全岩沉积物(空心符号)与提取的铁锰(氢)氧化物相(实心符号)的钼同位素值(δ⁹⁸Mo)。“mbsf” 表示海底以下深度(单位:米)。作为参考,黄色条带代表水成铁锰结壳与结核的平均 δ⁹⁸Mo 值(-0.70±0.14‰)。
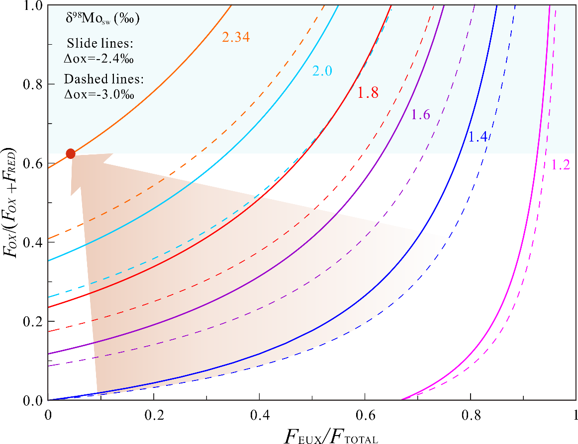
最后,通过整合本次研究获得的分析数据与已发表的深海远洋沉积物Mo浓度及同位素数据,计算得出氧化性沉积物Mo输出通量为 1.52×10⁸ mol/y,其对应的 δ⁹⁸Mo 值为 -0.09±0.23‰。研究人员进一步依据上述参数修正了全球Mo元素和同位素收支平衡模型(图 4)。修正后的平衡模型不仅深化了对深海远洋沉积物在全球Mo循环中贡献的认知,同时提升了基于Mo同位素的古海洋学重建精度。更新后的全球Mo同位素质量平衡模型表明,以往研究显著高估了古海洋 euxinic 环境(即缺氧且富含硫化氢的环境)的海底分布范围(图 5)。

图 4. 海洋钼(Mo)同位素质量平衡的最新模型。该示意图展示了全球Mo收支平衡中的主要输入项(紫色圆圈:河流输入、低温热液输入)与输出项(绿色圆圈:各类沉积物、高温热液输出)。每个圆圈的大小与估算通量成正比,通量数值标注于圆圈内(单位:×10⁸ mol / 年,黑色字体)。本模型的概念框架基于 Little 等人(2025 年)的研究成果。

图 5. 海水δ⁹⁸Mo与海洋汇分布关系的模拟结果。该模型基于 euxinic 汇(FEUX)、还原态汇(FRED)及氧化态汇(FOX)的相对占比,展示了海水 δ⁹⁸Mo 的稳态值。红色圆点代表现代钼同位素收支平衡状态,浅蓝色阴影区域为不合理的质量平衡解。带箭头标注的阴影区域则呈现了随深海氧化程度增强,海水 δ⁹⁸Mo 值的预测变化趋势(据 Chen 等人,2015 年修改)。
该研究成果近期发表于国际知名刊物 Nature Communications。王志兵副研究员为第一作者和通讯作者,中国地质调查局青岛海洋地质研究所邹亮研究员为共同通讯作者。该项研究获得了国家重点研发计划,国家自然科学基金、中国地质调查局地质调查二级项目,广东省基础与应用基础研究基金等项目支持。广东海洋地质调查局邓义楠教授提供了部分深海沉积物样品。
论文信息: Zhibing Wang*,Jie Li,Bangqi Hu,Liang Zou*,Xue Ding,Le Zhang,Jinlong Ma,Gangjian Wei. Revised Oceanic Molybdenum Isotope Budget from Deep-Sea Pelagic Sediments. Nat Commun 16,10086 (2025). https://doi.org/10.1038/s41467-025-65006-5
论文链接:https://www.nature.com/articles/s41467-025-65006-5
附件下载:

