近年来,全球干旱与高温的复合胁迫正对植物构成日益严重的威胁。其中,干旱会直接破坏植物的水分运输系统,进而间接抑制碳同化过程;而高温会损害光合作用机构并直接灼叶片。这些生理损伤最终会导致植物生长停滞、生产力下降、甚至死亡。然而,目前仍缺乏对自然生境下植物如何协调其碳经济策略和旱热耐受性以应对多重胁迫的深入了解。
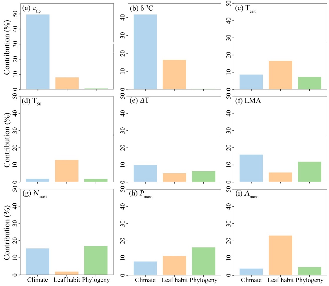
中国科学院华南植物园恢复生态学研究团队测量了来自两个水热条件截然不同的生境(落叶种占优势的干热生境和常绿种占优势的湿暖生境)的58种优势木本植物9个叶片耐旱、耐热和经济性状(图1)。研究发现,耐热性与耐旱性之间直接的相关性较弱,而叶片经济性状则主要分别通过单位质量最大光合速率和比叶重与耐热性和耐旱性密切连接,其中在常绿种内,经济性状与耐旱性的连接路径更多而紧密;而在落叶种内,经济性状与耐热性的连接路径更多(图2)。进一步对系统发育线性回归模型进行层次分析发现,耐热性主要受叶习性的影响,而耐旱性和经济性状同时受到叶习性和生境气候的影响(图3)。因此,叶片经济学是连接耐旱性与耐热性的核心,而叶习性则是其中重要的影响因子。
该研究强调了叶片碳经济性状是连接植物耐旱性和耐热性的中央枢纽,植物可以选择“快速周转、灵活避险”(落叶)或“长期持有、加固防御”(常绿)的策略在高温和干旱中存活。这加深了我们对植物生长-抗逆权衡的理解,并为叶片经济性状预测植物耐旱性和耐热性提供了关键证据,对评价和筛选物种耐旱耐热性以应对未来气候变化具有重要意义。
相关研究成果以“Leaf economic traits link drought and heat tolerance of woody species in two contrasting hydrothermal habitats” 为题,发表在植物学经典期刊New Phytologist上。中国科学院华南植物园博士生王杨思鼎为第一作者,刘慧研究员为通讯作者。本研究获国家自然科学基金、广东省自然科学基金、广州市科技局和中国科学院青年创新促进会优秀会员等项目资助。论文链接:https://doi.org/10.1111/nph.70841

图1. 不同叶习性和水热生境中叶片经济、耐旱和耐热性状的趋势图
假设:采用“慢速”策略的常绿物种具有更高水平的耐旱性和耐热性,而采用“快速”策略的落叶物种由于其更强的避旱避热能力,则不需要较高的旱热耐受性。因此,随着干热生境中落叶物种比例的提高,其平均旱热耐受性反而可能比湿暖生境中的植物更小。

图2.叶片耐旱、耐热和经济性状的相关图
(a)所有物种、(b)湿暖生境物种、(c)干热生境物种、(d)常绿物种和(e)落叶物种。叶片耐旱(蓝色)、耐热(红色)和经济性状(灰色)之间的正相关(红色线)和负相关(黑色线)由线条表示,线条宽度代表相关性强度。缩写:膨压丧失点时的叶片水势(πtlp)、叶片长期水分利用效率(δ13C)、光系统II量子传递效率开始下降的温度(Tcrit)、光系统II量子传递效率下降50% 时的温度(T50)、Tcrit和T50之间的温度范围(ΔT)、比叶重(LMA)、单位质量叶片氮含量(Nmass)、单位质量叶片磷含量(Pmass)、单位叶片质量的最大光合速率(Amass)。
图3. 气候、叶习性和系统发育对叶片耐旱、耐旱和经济性状的影响
(a)叶片膨压丧失点(πtlp)、(b)叶片长期水分利用效率(δ13C)、(c)光系统II量子传递效率开始下降的温度(Tcrit)、(d)光系统II量子传递效率下降50%时的温度(T50)、(e)Tcrit和T50之间的温度范围(ΔT)、(f)比叶重(LMA)、(g) 单位质量叶片氮含量(Nmass)、(h)单位质量叶片磷含量(Pmass)、(i)单位质量叶片最大光合速率(Amass)。
附件下载:


